Contoh Soalan Stpm Math M


950 Sukatan Pelajaran Matematik M Stpm Baharu


2013 Stpm Mathematics M Past Year Questions P1 P2 P3 Pdf Equations Matrix Mathematics


Stpm 2015 Maths T Paper 1 Sample Answer And Solution


2013 Stpm Mathematics M Past Year Questions P1 P2 P3 Pdf Equations Matrix Mathematics


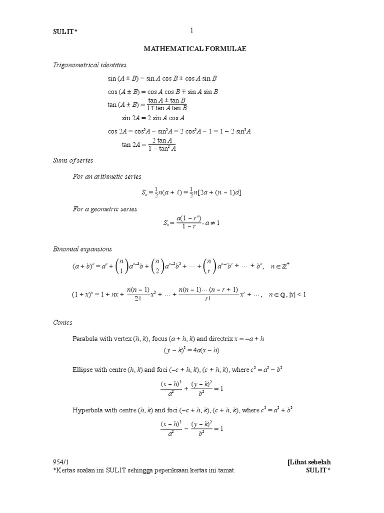
Stpm Math T Formulae 954 Pdf

No comments for "Contoh Soalan Stpm Math M"